Proof Quotient Rule

What Is The Proof Of The Quotient Rule In Calculus Quora
Proof The Quotient Rule Of Differentiation Youtube
How To Prove The Quotient Rule Of Differentiation Quora
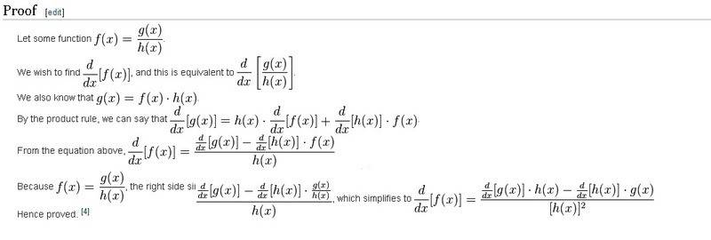
Calculus Quotient Rule Wikibooks Open Books For An Open World
Proof Of Quotient Rule Using Product Rule Physics Forums
Can You Help Me Find The Error In That Quotient Rule Proof Askmath
Core Pure 3 Notes The Product And Quotient Rule From First Principles
Definition Of Quotient Rule Chegg Com
Lc Maths Hons Proof Of Quotient Rule Youtube
Quotient Rule Definition Formula Proof And Examples
3 2 Differentiation Of Products And Quotients
Definition Of Quotient Rule Chegg Com
Quotient Rule For Logs Proof Youtube
The Product And Quotient Rules
Calculus Product And Quotient Rules Wikibooks Open Books For An
Quotient Rule From Product Chain Rules Video Khan Academy
How Do You Find Dy Dx Using The Quotient Rule For E 1 2x 2x 3
Lesson 9 The Product And Quotient Rules Slides
Calculus Chain Rule Proof Is A Bit Unclear What Is Epsilion In
By Writing Tanx As Sinx Cosx And By Using Quotient Rule Prove
Geometric Interpretations Of The Quotient Rule And Reciprocal Rule
Logarithm Properties Studying Math
Proof Quotient Rule Brainly In
Basic Rules Of Differentiation Ximera
Lesson 9 The Product And Quotient Rule
Is The Quotient Rule In Calculus Needed If It Can Be Replaced By
Delta Proof Quotient Rule Youtube
Solved Consider The Following Proof Of The Product Rule
Laws Properties Of Logarithms Ppt Download
How Do You Use The Quotient Rule Find The Gradient Of The Function
Quotient Rule Proof Album On Imgur
Product And Quotient Rule Connectionstringexamples
How To Apply The Logarithm Rules Product Rule Quotient Rule
Logarithms Quotient Rule Proof Youtube
Calculus Proof Of Quotient Rule Using Sigma Notation
Quotient Rule Derivative Formula
Solved 1 Prove The Quotient Rule By Applying The Followi
Product And Quotient Rule Ppt Download
Lesson 9 The Product And Quotient Rule
The Table Shows A Student S Proof Of The Quotient Rule For
Derivative Rules Proof Of The Quotient Rule Youtube
Solved Part B Consider The Following Proof Of The Product
Differentiation Quotient Rule Andymath Com
How Do You Differentiate 2x X 1 2 Socratic
3 2 Differentiation Of Products And Quotients
Proof Of Quotient Rule Youtube
Solved Writing Assignment 4 The Following Problems Or Statements
Solved Consider The Following Proof Of The Product Rule
Quotient Of Complex Numbers Polar Form Mathematixene
Lesson 9 The Product And Quotient Rule
Derivative Of Tan X Proof In Easy Steps Calculus How To
Lesson 9 The Product And Quotient Rule
Solved Part B Consider The Following Proof Of The Product
The Quotient Rule Implicit Differentiation An Approach To Calculus
Proving The Power Product And Quotient Rules By Using Logarithmic
Keep The First Differentiate The Second Ppt Download
Quotient Rule In Differentiation
Log Rules Justifying The Logarithm Properties Article Khan
Incorrect Chain Rule Proof Mathematics Stack Exchange
Solved The Quotient Rule Says F X G F F X G X G
Derrive Product And Quotient Rule Using Logarithmic
Download Quotient Rule Chain Rule And Product Rule Softarchive
Raressraxil Quotient Rule Formula
Trigonometric Function Differentiation
Product Rule Proof The Student Room
How To Understand Derivatives The Quotient Rule Exponents And
Lesson 9 The Product And Quotient Rule
The Quotient Rule Advanced Higher Maths
Derivative Of Tanx Secx Tanx More Study Queries
Solved Find The Derivative Of The Function F Such That X2 41w F X
Solved 1 Recall The Quotient Rule From Calculus F N
The Quotient Rule Explanation And Examples Mathbootcamps
Proof The Product Rule Of Differentiation Youtube
View Teaching Guide Teach Together Community For Shs
Product And Quotient Rules Teaching Resources
Proof That The Derivative Of Tan X Sec 2x Using The Quotient Rule
Ppt Geomath Powerpoint Presentation Free Download Id 4296588
Calculus Quotient Rule Wikibooks Open Books For An Open World
Geometric Interpretations Of The Quotient Rule And Reciprocal Rule
Proof Of Product Rule For Gradients Physics Forums
0 Comments
Post a Comment